前 言
本标准按照 GB/T 1.1—2009 给出的规则起草。
请注意本文件的某些内容可能涉及专利。本文件的发布机构不承担识别这些专利的责任。
本标准由中华人民共和国国家档案局提出并归口。
本标准起草单位:国家档案局档案科学技术研究所。
本标准主要起草人:方志华、荆秀昆、陈菲、姜莉。
引 言
档案库房空气质量不仅是影响档案保存质量和保存寿命的重要因素,而且会对档案工作人员身体 健康产生影响。为提高档案库房管理水平,完善库房空气质量检测制度,促进档案部门了解和评价档案库房空气质量状况,特制定本标准。
档案库房空气质量检测在对象(档案库房)、检测项目及范围、布点采样、安全因素等方面都不同于其他环境的空气质量检测。
正 文
1 范围
本标准给出了档案库房空气质量检测的方法。
本标准适用于我国各级各类档案馆的档案库房,包括在用档案库房以及新建档案库房。
2 规范性引用文件
下列文件对于本文件的应用是必不可少的。凡是注日期的引用文件,仅注日期的版本适用于本文件。凡是不注日期的引用文件,其最新版本(包括所有的修改单)适用于本文件。
GB 50325 民用建筑工程室内环境污染控制规范
GB/T 601 化学试剂 标准滴定溶液的制备
GB/T 602 化学试剂 杂质测定用标准溶液的制备
GB/T 6167 尘埃粒子计数器性能试验方法
GB/T 6682 分析实验室用水规格和试验方法
GB/T 8170—2008 数值修约规则与极限数值的表示和判定
GB/T 11605 湿度测量方法
GB/T 11742 居住区大气中硫化氢卫生检验标准方法 亚甲蓝分光光度法
GB/T 14582 环境空气中氡的标准测量方法
GB/T 16147 空气中氡浓度的闪烁瓶测量方法
GB/T 18204.1 公共场所卫生检验方法 第1部分:物理因素
GB/T 18204.2 公共场所卫生检验方法 第2部分:化学污染物
GB/T 18883—2002 室内空气质量标准
GB/T 27415 分析方法检出限和定量限的评估
GB/T 27703—2011 信息与文献 图书馆和档案馆的文献保存要求
GBZ/T 160.33 工作场所空气有毒物质测定 硫化物
GBZ/T 300.44 工作场所空气有毒物质测定 第44部分:黄磷、磷化氢和磷酸 GBZ/T 300.111 工作场所空气有毒物质测定 第111部分:环氧乙烷、环氧丙烷和环氧氯丙烷
HJ 504 环境空气 臭氧的测定 靛蓝二磺酸钠分光光度法
HJ 590 环境空气 臭氧的测定 紫外光度法
HJ 618 环境空气 PM10和PM2.5的测定 重量法
HJ 644 环境空气 挥发性有机物的测定 吸附管采样-热脱附/气相色谱-质谱法
HJ 759 环境空气 挥发性有机物的测定 罐采样/气相色谱-质谱法
JGJ 25—2010 档案馆建筑设计规范
JGJ/T 309—2013 建筑通风效果测试与评价标准
JJG 846 粉尘浓度测量仪检定规程
JJF 1190 尘埃粒子计数器校准规范
3 术语和定义
下列术语和定义适用于本文件。
3.1 档案库房 archival repository
收藏档案的专门用房。
[DA/T 1—2000,定义8.5]
3.2 档案库房空气质量参数 archival repository air quality parameter
档案库房空气中与档案保管和人体健康有关的物理、化学、生物和放射性参数。
注:改写 GB/T 18883—2002,定义3.1。
3.3 瞬时采样 grab sampling
在很短的时间内,采集样品。
3.4 连续采样 continuous sampling
在全部操作过程或预定时间内,不间断地采样。
3.5 标准状态 normal state
温度为273K,压力为101.325kPa 时的干物质状态。
[GB/T 18883—2002,定义3.4]
3.6 新风量 air change flow
在门窗关闭的状态下,单位时间内由空调系统通道、房间的缝隙进入室内的空气总量,单位为立方米每小时(m³/h)。
3.7 空气交换率 air change rate
单位时间(h)内由室外进入到室内空气的总量与该室室内空气总量之比,单位为每小时(h-1)。
3.8 可吸入颗粒物 inhalable particles,PM10
悬浮在空气中,空气动力学直径≤10μm 的颗粒物。
[HJ 618—2011,定义3.1]
3.9 细颗粒物 fineparticles,PM2.5
悬浮在空气中,空气动力学直径≤25μm的颗粒物。
[HJ 618—2011,定义3.2]
3.10 氡浓度 radon concentration
实际测量的单位体积空气内氡的含量,单位为贝可每立方米(Bq/m³)。
3.11 挥发性有机化合物 volatile organic compounds,VOCs
沸点范围在50℃~100℃到240℃~260℃之间的化合物。
3.12 总挥发性有机化合物 total volatile organic compounds,TVOC
利用Tenax GC或Tenax TA采样,非极性色谱柱(极性指数小于10)进行分析,保留时间在正己烷和正十六烷之间的挥发性有机化合物。
[GB/T 18883—2002,定义3.3]
4 布点和采样
4.1 布点原则
采样点的数量根据所需检测的档案库房的面积大小和现场情况而确定,测量值应能真实反映该库房的空气质量。原则上每个相对独立的库房应设1~3个点;面积超过100㎡时,应适当增加采样点。
4.2 布点方式
多点采样时应按对角线或梅花式均匀布点,应避开通风口,离墙壁距离应大于0.5m,离门窗距离应大于1.0m。采样点高度一般距离地面高度1.0m~1.5m。有特殊要求的可根据具体情况而定。
4.3 采样时间及频次
新建或经改造的档案库房,在正式使用前应进行检测,并应符合 GB 50325中Ⅱ类公共建筑工程的要求。日常检测的采样时间及频次,应根据检测目的、待测物浓度水平及检测分析方法的检出限确定。使用中的档案库房建议每年至少采样检测一次。
4.4 封闭时间
检测应在对外门窗关闭12h后进行。对于采用集中式空调系统或新风系统的库房环境,设备应正常运转。有特殊要求的可根据现场情况及要求而定。
4.5 采样方法
4.5.1 瞬时采样
在满足待测污染物采样要求的条件下,迅速采集环境样品,检测值代表某一时间点的档案库房空气质量参数。若需要多次采样时,一般采样间隔时间为10 min~15 min,每个点位应至少采集3次样品,每次的采样量大致相同。
4.5.2 连续采样
在满足待测污染物采样要求的条件下,用有动力的抽气装置,在预定的一段时间内连续采集待测环境样品,检测值代表该时段内档案库房空气质量参数的平均值。
4.6 采样记录
采样时要对现场情况、采样日期、时间、地点、数量、布点方式、大气压力、气温、相对湿度、风速以及采样人员等进行详细记录;每个样品上也要贴上标签,标明点位编号、采样日期和时间、测定项目等,字迹应端正、清晰。采样记录随样品一同报到实验室。
4.7 采样装置
4.7.1 空气采样器
由流量计、流量调节阀、稳流器、计时器及采样泵等装置组成。采样流量范围为0.10 L/min~1.00L/min,流量计应不低于2.5级。
4.7.2 玻璃注射器
适用于采集化学性质稳定、不与玻璃起化学反应且浓度较高的待测气体。
4.7.3 空气采样袋
适用于采集化学性质稳定、不与采样袋起化学反应的待测气体,如VOCs。使用带金属衬里的采样袋可以延长样品的保存时间,也可使用聚四氟乙烯采样袋等。
4.7.4 冲击式吸收瓶
适用于采集气态物质。
4.7.5 多孔玻板吸收瓶
适用于采集气态或气态与气溶胶共存的物质。
4.7.6 固体吸附管
适用于采集能被吸附管内固体吸附剂吸附并方便解吸的气态物质。
4.7.7 滤膜
适用于采集挥发性低的气溶胶,如可吸入颗粒物等。常用的滤料有玻璃纤维滤膜、聚氯乙烯纤维滤膜、微孔滤膜、聚四氟乙烯滤膜、石英滤膜等。
4.7.8 不锈钢采样罐
不锈钢采样罐的内壁经过抛光或硅烷化处理,用于档案库房空气中VOCs的采样。可根据采样要求,选用不同容积的采样罐。使用前采样罐被抽成真空,采样时将采样罐放置于现场即可对空气进行瞬时采样,送回实验室分析。
4.8 采样的质量控制
4.8.1 采样装置
采样装置应符合国家有关标准和技术要求,并通过计量检定。使用前,应按仪器说明书对仪器进行检验和标定。采样时采样装置(包括采样管)不能被阳光直接照射。
4.8.2 采样人员
采样人员必须通过岗前培训,切实掌握采样技术。
4.8.3 气密性检查
有动力采样器在采样前应对采样系统气密性进行检查,不得漏气。
4.8.4 流量校准
采样前和采样后要用经检定合格的1级皂膜流量计在采样负载条件下校准采样系统的采样流量,取两次校准的平均值作为采样流量的实际值。校准时的大气压与温度应和采样时相近。两次校准的误差不得超过5%。
4.8.5 现场空白检验
在进行现场采样时,同一批应至少留有两个采样管不采样,并同其他样品管一样对待,作为采样过程中的现场空白,采样结束后和其他采样吸收管一并送交实验室。样品分析时测定现场空白值,并与校准曲线的零浓度值进行比较。若空白检验超过控制范围,则这批样品作废。
4.8.6 平行样检验
每批采样中平行样数量不得低于10%。每次平行采样,测定值之差与平均值比较的相对偏差不得超过20%。
4.8.7 采样体积校正
在计算浓度时应将采样体积换算成标准状态下的体积,见式(1):
V0 =V·
·
……………………(1)
式中:
V0 ——换算成标准状态下的采样体积,单位为升(L);
V ——采样体积,单位为升(L);
T0 ——标准状态的温度,T0=273.15K;
T ——采样时采样点现场的温度,单位为开尔文(K);
P ——采样时采样点的大气压力,单位为千帕(kPa);
P0 ——标准状态下的大气压力,P0=101.3 kPa。
5 样品的运输与保存
样品由专人运送,按采样记录清点样品,防止错漏,为防止运输中采样管震动破损,装箱时可用泡沫塑料等分隔。样品因物理、化学等因素的影响,使组分和含量可能发生变化,应根据不同项目的要求,进行有效处理和防护。样品运抵后要与接收人员交接并登记。检测样品要标注保存期限,并在保质期内完成检测。超过保存期限的样品,要按照相关规定及时处理。
6 检测项目与分析方法
6.1 检测项目
6.1.1 检测项目的确定依据
6.1.1.1 选择相关档案文献保存标准中要求控制的检测项目。
6.1.1.2 选择会加速档案载体材料劣化的检测项目。
6.1.1.3 选择档案库房新建或改造过程中可能产生的对档案保存有害的物质。
6.1.1.4 选择杀灭有害生物(如灭菌、杀虫)等情况可能产生的对档案保存有害的物质。
6.1.1.5 选择空调系统污染可能对档案保存有影响的和对档案保存有害的物质。
6.1.1.6 选择室内空气质量标准中要求控制的且与档案工作相关的检测项目。
6.1.1.7 所选检测项目应有国家或行业标准分析方法、行业推荐的分析方法。
6.1.2 检测项目内容
6.1.2.1 检测项目内容见表1。

6.1.2.2 进行档案库房空气质量检测应首先检测并记录档案库房的温度、相对湿度、空气流速和大气压。
6.1.2.3 档案库房新添、改造或检修通风设备或空调设备后,应测定空气流速和新风量并至少连续记录24h设备调控环境的温、湿度波动情况,记录时间间隔不得大于1h。
6.1.2.4 新建和改造的档案库房应符合GB 50325 中Ⅱ类公共建筑工程的要求,测定甲醛、乙酸、氨、氡、TVOC、颗粒物等。
6.1.2.5 档案库房应测定菌落总数,包括细菌和霉菌。
6.1.2.6 具有集中式空调系统或使用空气净化设备的档案库房应检测臭氧和颗粒物。
6.1.2.7 放射性背景浓度较高地区的档案库房应定期检测空气中氡的浓度。
6.1.2.8 对于存放银盐照片或银盐胶片的档案库房建议测定空气中的硫化氢。
6.1.2.9 进行熏蒸处理的档案入库后,建议检测库房空气中相应熏蒸剂的残留。
6.2 分析方法
6.2.1 选择分析方法的原则
6.2.1.1 首先选用相关评价标准中指定的分析方法。
6.2.1.2 在没有指定方法时,应选择国家标准、行业标准规定的分析方法,也可采用行业推荐方法。
6.2.1.3 在某些项目的检测中,也可采用其他等效分析方法,或由权威的技术机构制定的方法,但应经过验证合格,其检出限、准确度和精密度应能达到本标准的质控要求。
6.2.1.4 选择的分析方法应符合档案保管单位的相关安全规定和库房管理规定。
6.2.2 分析方法内容
6.2.2.1 档案库房空气各项物理参数的推荐检测分析方法见表2。


6.2.2.2 档案库房空气中外源性污染物的推荐检测分析方法见表3。

6.2.2.3 档案库房空气中内源性污染物的推荐检测分析方法见表4。


6.2.2.4 档案库房空气中残留熏蒸剂的推荐检测分析方法见表5。

6.2.2.5 档案库房空气质量参考标准见表6。


7 检测数据处理和报告
7.1 检测数据处理
7.1.1 检测数据的记录与归档
7.1.1.1 检测采样、样品运输、样品保存、样品交接和实验室分析的原始记录是检测工作的重要凭证, 应在记录表格或专用记录本上按规定格式,对各栏目认真填写。
7.1.1.2 各种原始记录应做到字迹端正、清晰。如原始记录上数据有误而要改正时,应将错误的数据 划两道横线;如需改正的数据成片,应以框线将这些数据框起,并注明“作废”两字。再在错误数据的上方写上正确的数据,并在右下方签名(或盖章)。不得在原始记录上涂改。
7.1.1.3 各项记录必须现场填写,不得事后补写。
7.1.1.4 任何个人不得擅自销毁,应按期归档保存,涉及同一检测报告的原始记录应一并归档。
7.1.2 原始记录有效数字保留位数
原始记录有效数字保留位数见表7。


7.1.3 校准曲线回归处理与有效数字
7.1.3.1 用具有回归统计功能的计算器进行计算时,把原始数据输入则可直接显示相关系数r、斜率a、截距b,从而求得一元回归方程:
y =ax + b
回归时应扣除空白值。不扣除空白值,直接回归的曲线,可用来计算空白值的浓度。
7.1.3.2 r 取小数点后全部 9(但最多取小数点后四位)与第一位非9的修约数字。
7.1.3.3 a 的有效数字位数,应与自变量x 的有效数字位数相等,或最多比 x 多保留一位。 b 的最后一位数,则和因变量 y 的最后一位数取齐,或最多比 y 多一位。
7.1.4 检测结果的统计处理
7.1.4.1 检测数据的统计
主要进行平均值、超标率及超标倍数三项统计计算。参加统计计算的检测数据必须是按照本标准要求所获得的检测数据。不符合本标准要求所得到的数据不得填报,也不参加统计计算。档案库房空气物理参数的检测结果不进行上述统计处理。
7.1.4.2 平均值的计算
7.1.4.2.1 单个项目单一测点检测数据平均值的计算
单一测点检测数据平均值的计算公式见式(2):

式中:
——j 检测点的平均值;
n ——检测数据的数目;
——j 检测点上第i个检测数据。
如样品浓度低于分析方法最低检出限,则该检测数据以1/2 最低检出限的数值参加平均值统计计算
7.1.4.2.2 单个项目多个测点检测数据平均值的计算
多个测点检测数据平均值的计算公式见式(3):

式中:
——多个检测点检测数据的平均值;
m ——检测点的数目;
——j 检测点的平均值。
7.1.5 检测数据的数字修约及计算规则
7.1.5.1 数字修约
数字修约按 GB/T 8170—2008的规定进行。
7.1.5.2 计算规则
7.1.5.2.1 加减运算时,得数经修约后,小数点后面有效数字的位数应和参加运算的数中小数点后面有效数字位数最少者相同。
7.1.5.2.2 乘除运算时,得数经修约后,其有效数字位数应和参加运算的数中有效数字位数最少者相同。
7.1.5.2.3 进行对数计算时,对数的有效数字位数和真数相同。
7.1.5.2.4 进行平方、立方或开方运算时,计算结果有效数字的位数和原数相同。
7.1.5.2.5 计算中,常数π、e和
、1/3等有效数字位数是无限的,根据需要取有效数字的位数。
7.1.5.2.6 来自一个正态总体的一组数据(多于4个),其平均值的有效数字位数可比原数增加一位。
7.1.5.2.7 表示分析结果精密度的数据一般只取一位有效数字,只有当测定次数很多时才能取两位,且最多只能取两位。
7.1.5.2.8 分析结果有效数字所能达到的位数不能超过方法最低检出浓度的有效数字所能达到的位数。
7.2 检测结果评价与报告
7.2.1 检测结果的评价
检测结果以平均值表示,物理性、化学性、生物性和放射性指标平均值符合标准值要求时,为达标;有一项检验结果未达到标准要求时,为不达标。并应对单个项目是否达标进行评价。
7.2.2 检测报告
检测报告应包括以下内容:被检测方或委托方、检测地点、检测项目、检测时间、检测仪器、检测依据、检测结果及检验人员、报告编写人员、审核人员、审批人员签名等。检测报告应加盖检测机构检测专用章并要加盖骑缝章。
8 质量保证与质量控制
8.1 检测人员的基本要求
8.1.1 凡从事档案库房空气质量检测的工作人员,应经专业技术培训,考核合格。
8.1.2 正确熟练地掌握环境检测中操作技术和质量控制程序;熟知有关环境检测管理的法规、标准和规定;学习和了解国内外环境检测新技术、新方法。
8.1.3 检测人员对于所获得的检测数据资料应及时整理归档,认真填写各种检测表格,字迹工整。严禁弄虚作假,擅自涂改、伪造数据资料。
8.1.4 要定期对所用仪器、仪表及各种检测用具进行检查、校准和维护。能正确和熟练掌握仪器设备的操作和使用,能迅速判断故障并能及时排除故障。
8.2 采样的质量控制
见4.8。
8.3 现场检测的质量控制
8.3.1 人员要求
见8.1。
8.3.2 仪器校准
仪器必须按规定做好周期计量检定或校准工作。仪器使用前要进行零点校准及跨度校准,使用前后都要进行性能检查。
8.3.3 填写现场检测记录
现场检测人员要认真填写现场检测记录并签名,现场质控人员审核现场检测的过程和核验检测记录合格后签名。
8.3.4 日常检查和维护
现场检测仪器要做好日常检查和维护,保证检测仪器处于良好的状态。
8.4 实验室样品分析质量控制
8.4.1 分析方法的选择
所用检测方法优先选用国家标准、行业标准规定的检测分析方法。分析人员首次使用的方法,应进行质量控制实验,以考察方法的适用性和分析人员操作水平。分析方法检出限和定量限的评估按照GB/T 27415的规定进行。
8.4.2 标准溶液
标准溶液的配置、使用、储存及检验按照 GB/T 601 和 GB/T 602 的规定进行。实验室用水满足GB/T 6682的要求。
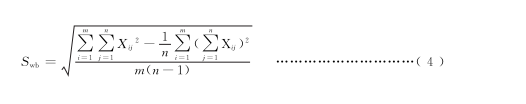
8.5 全程序空白值的检查
全程序空白值是指测定某物质时,除样品中不含该测定物质外,整个分析过程的全部因素引起的测定信号值或相应浓度值。每次测定2个平行样,连测5d,计算10次所测结果的批内标准偏差
,见式(4):

式中:
Swb——空白试验批内标准偏差;
m ——测定天数;
n ——每天测定平行样数;
Xij ——每天所包含的每个空白测定值。
检出限按式(5)计算:
L = 2
…………………………(5)
式中:
L ——方法检出限;
taf——显著性水平α,自由度为f时的t分布临界值。这里m=5,n=2,f=m(n-1),α=0.05(单侧),查得taf=2.015,因此L≈5.70Swb。
若所得检出限大于方法规定检出限,表明空白值不合格,应查找原因改进,否则影响样品测定的准确度和精密度,即检测质量不合格。
8.6 校准曲线
绘制校准曲线时,至少要有6个浓度点(包括零浓度),在接近线性范围上限和下限的点,每个点应做平行测定。校准曲线回归的相关系数 r 大于0.999者为合格校准曲线,回归方程截距 b 小于0.005为合格,若 b 大于0.005时,当取95%的置信水平,将截距 b 与 0 作 t 检验,无显著性差异时,b=0,可用回归方程计算浓度;当截距 b 与 0 有显著性差异时,应找出原因并予以纠正后,重新绘制并经检验合格方可使用。
当分析方法要求每次测定需同时绘制校准曲线时,应按方法规定执行;若校准曲线斜率较为稳定,可定期检查其是否可继续使用,检验方法是测定两个校准点(以测定上限浓度0.3倍和0.6倍两点为宜),当此两点与原曲线相应点的相对偏差小于5%(最多10%)时原曲线可以继续使用,否则需重新绘制。
8.7 精密度和准确度控制
8.7.1 精密度
每次检测时,必须在现场加采不少于10% 的密码平行样,与样品同时测定,平行样相对偏差应符合要求(相对偏差不大于方法规定值的两倍为合格),平行测定合格率≥95% 方为合格。若不足95%,则应重测不合格的平行双样,应增测10~15%的密码平行样,如此累进直至合格率≥95%为止。
8.7.2 准确度
在样品检测同时必须做标准样品测定。标准样品测定值应在控制范围内。
8.8 检测报告的审核
严格执行原始数据及检测报告的审核制度。审核范围:采样原始记录、分析原始记录、检测报告。审核内容包括检测方法、数据计算过程、质控措施、计量单位、报告内容等。
9 检测安全
档案库房空气质量现场检测时应遵守档案保存单位的各项安全制度,规范操作,保持检测现场整洁。
实验室分析时安全操作,加强化学药品的管理。制定符合本单位实际情况的检测安全制度并严格执行和定期检查,保证检测工作的顺利进行。
附 录 A
(规范性附录)
档案库房空气物理参数的测量
A.1 温度
档案库房温度是指库房内环境空气的温度,单位以摄氏度(℃)表示。可以使用玻璃温度计、数字式(包括热电偶、热电阻、半导体式)温度计测定库房内温度,也可以使用干湿球湿度计、数字式湿度计和风速计所附的温度计。要求温度计测试范围应在-10℃~50℃,准确度为±0.3℃。
A.2 相对湿度
湿度是指空气中水分的含量。有两种表示方法:
a) 绝对湿度:单位体积空气中所含水汽的质量;
b) 相对湿度(RH):空气中实际水气压与同一温度条件下饱和水气压之比值,单位用%表示。
湿度一般用相对湿度表示。相对湿度可以使用干湿球温度计、氯化锂露点式湿度计、电容式数字湿度计测定,要求湿度计测试范围应在12%~99%,准确度为±3%。
A.3 空气流速
室内外温差、压差、人工通风、空调等都可引起空气流动,同室外气流一样对污染物有稀释和扩散作用。档案库房内的空气流速可用热球式电风速计和热线式电风速计测量,要求风俗计测试范围应在0.01m/s~20m/s,准确度为±5%。
A.4 新风量
A.4.1 原理
本标准采用示踪气体浓度衰减法。在待测档案库房内通入适量示踪气体,由于库内、外空气交换,示踪气体的浓度呈指数衰减,根据浓度随时间的变化值,计算出档案库房内的新风量。
A.4.2 仪器和材料
所需仪器和材料如下:
——二氧化碳非分散红外线气体分析仪。测量范围:0~0.5%;0~1.5%两档。最低检出浓度为0.01%。
——尺、摇摆电扇。
——示踪气体:二氧化碳。二氧化碳室内最高容许浓度 9 000 mg/m³;环境本底水平约600mg/m³。
A.4.3 测定步骤
A.4.3.1 库内空气总量的测定
A.4.3.1.1 用尺测量并计算出库内容积V1。
A.4.3.1.2 用尺测量并计算出库内物品(档案柜及档案装具等)总体积V2。
A.4.3.1.3 计算库内空气容积,见式(A.1):
V=V1-V2 …………………………(A.1)
式中:
V ——库内空气容积,单位为立方米(m³);
V1 ——库内容积,单位为立方米(m³);
V2 ——库内物品总体积,单位为立方米(m³)。
A.4.3.2 测定的准备工作
A.4.3.2.1 按仪器使用说明校正仪器,校正后待用。
A.4.3.2.2 打开电源,确认电池电压正常。
A.4.3.2.3 归零调整及感应确认,归零工作需要在清净的环境中调整,调整后即可进行采样测定。
A.4.3.3 采样与测定
A.4.3.3.1 关闭门窗,在室内首先测量示踪气体本底浓度,通入适量的示踪气体后,将气源移至室外,同时用摇摆电扇搅动空气3min~5 min,使示踪气体分布均匀,再按对角线或梅花状布点采集空气样品,同时在现场测定并记录。
A.4.3.3.2 计算空气交换率:用平均法或回归方程法,具体如下:
——平均法:当浓度均匀时采样,测定开始时示踪气体的浓度c0,15 min或30 min时再采样,测定最终示踪气体浓度ct(t 时间的浓度),前后浓度自然对数差除以测定时间,即为平均空气交换率。
——回归方程法:当浓度均匀时,在30min内按一定的时间间隔测量示踪气体浓度,测量频次不少于5次。以浓度的自然对数对应的时间作图。用最小二乘法进行回归计算。回归方程式中的 斜率即为空气交换率。
A.4.4 结果计算
A.4.4.1 平均法计算平均空气交换率,见式(A.2):
A=[lnc0-lnct]/t …………………………(A.2 )
式中:
A ——平均空气交换率,单位为每小时(h-1);
c0 ——测量开始时示踪气体浓度,单位为毫克每立方米(mg/m3);
ct ——时间为t时示踪气体浓度,单位为毫克每立方米(mg/m3);
t ——测定时间,单位为小时(h)。
A.4.4.2 回归方程法计算空气交换率,见式(A.3):
lnct=lnc0-At …………………………(A.3)
式中:
ct ——t 时间的示踪气体浓度,单位为毫克每立方米(mg/m3);
A ——空气交换率,单位为每小时(h-1);
c0 ——测量开始时示踪气体浓度,单位为毫克每立方米(mg/m3);
t ——测定时间,单位为小时(h)。
A.4.4.3 新风量的计算,见式(A.4):
Q=AV …………………………(A.4)
式中:
Q ——新风量,单位为立方米每小时(m3/h);
A ——空气交换率,单位为每小时(h-1);
V ——室内空气体积,单位为立方米(m3)。
注:若示踪气体环境本底浓度不为0时,则公式中的ct、c0 需减本底浓度后再取自然对数进行计算,二氧化碳的环境本底水平约600mg/m3 ,以现场实测为准。
附 录 B
(规范性附录)
档案库房空气中外源性污染物的检测
B.1 档案库房空气中二氧化硫的检测——紫外荧光法
B.1.1 原理
由光源发射出的紫外光通过光源滤光片进入反应室。空气中SO2 分子抽入仪器的反应室,吸收紫外光生成激发态的SO2 * ,当它回到基态时,放射出荧光紫外线,其放射荧光强度与SO2 浓度成正比。通过第二个滤光片,用光电倍增管接受荧光紫外线,并转化为电信号经过放大器输出,即可测量SO2浓度。
B.1.2 最低检出浓度
本法最低检出浓度为0.006mg/m3(两倍噪声)。
B.1.3 仪器和设备
紫外荧光法二氧化硫分析仪,仪器主要技术指标如下:
——测量范围:0~1.5mg/m3;
——响应时间:≤5min;
——2h 零点漂移:≤±0.015mg/m3;
——24h 80% 跨度漂移:≤±0.03mg/m3;
——80% 跨度精密度:≤±0.03mg/m3;
——噪音:≤0.003mg/m3。
B.1.4 试剂和材料
活性炭:粒状。
B.1.5 采样和样品保存
空气样品以仪器要求的流量通过聚四氟乙烯管,抽入仪器。记录测定时的气温和大气压力。
B.1.6 分析步骤
按仪器说明书要求操作。
B.1.7 计算
B.1.7.1 直接读取二氧化硫浓度。
B.1.7.2 根据测定时的气温和大气压力,将测定浓度值换算成标准状态下的质量浓度。101.325kPa,273.15K(0℃)下,1×10-9(体积分数)=2.6μg/m3。
B.1.8 说明
B.1.8.1 干扰及排除:空气中存在的 O3、H2S、CO、CO2、NO2、CH4 等不干扰测定。NO等效干扰比为0.5%。由于空气中存在1% H2O (体积比)时,可使SO2 浓度信号降低20% 。所以仪器要求有除湿装置,仪器装有渗透式干燥器,几乎可以排除水分的影响。去烃器的作用是排除某些烃类化合物对荧光测定的干扰。
B.1.8.2 渗透式干燥器脱水的原理:利用半透膜内外水分压差,使样品中的水分子通过薄膜渗透到膜外部真空系统,被抽走。二氧化硫则留在膜内气路中,进入反应室。使用阻力毛细管和与抽气泵相连的真空调节器,可产生渗透式干燥器工作所要求的系统压力差。这种渗透式干燥器的优点是可长期使用。
B.2 档案库房空气中二氧化氮的检测——化学发光法
B.2.1 原理
被测空气连续被抽入仪器,氧化氮(NOx)经过NO2-NO 转化器后,以一氧化氮(NO)的形式进入反应室,与臭氧反应产生激发态的NO*,当NO*回到基态时放出光子(hγ)。光子通过滤光片,被光电倍增管接受并转变为电流,测量放大后的电流。电流大小与NO浓度成正比例。仪器中另一气路,直接进入反应室,测得NO量,则 NO2=NOx-NO。
B.2.2 最低检出浓度
本方法最低检出浓度为0.004mg/m3。
B.2.3 仪器和设备
二氧化氮分析仪,仪器主要技术指标如下:
——测量范围:0~1mg/m3;
——2h 零点漂移:≤±0.01mg/m3;
——24h 80% 跨度漂移:≤± 0.02mg/m3;
——80% 跨度精密度:≤±0.02mg/m3;
——噪音:≤0.002mg/m3;
——钼转换器效率:>98% 。
B.2.4 试剂和材料
所需试剂和材料如下:
——活性炭:100目~120目,装在过滤器中;
——干燥剂:分子筛和硅胶,装在过滤器中;
——标准气源:NO标准气体装在铝合金钢瓶中,浓度6.7 mg/m3 ~13.4 mg/m3,用重量法标定,不确定度2%。或用二氧化氮渗透管,渗透率为0.1μg/min~2.0μg/min,不确定度为2 。
B.2.5 采样和样品保存
空气样品通过聚四氟乙烯管以lL/min的流量被抽入仪器。记录测量时的气温和大气压力。
B.2.6 分析步骤
按仪器说明书要求操作。
B.2.7 计算
B.2.7.1 在仪器上读取二氧化氮浓度(NO2=NOx-NO)。
B.2.7.2 根据测量时的气温和大气压力,将测定浓度值换算成标准状态下的浓度。101.325kPa,273.15K(0℃)下,1×10-9(体积分数)=1.9μg/m3。
B.3 档案库房空气中臭氧的检测——化学发光法
B.3.1 原理
臭氧分析器是根据臭氧和乙烯气相发光反应的原理制成的。样气被连续抽进仪器的反应室与乙烯反应产生激发态的甲醛(HCHO* )。当 HCHO* 回到基态时,放出光子(hγ)。反应式如下:
2O3+2C2H4→ 4 HCHO* +O2
HCHO* → HCHO+ hγ
发射300nm~600nm 的连续光谱,峰值波长为435nm。所发光的强度与臭氧浓度呈线性关系,从而测得臭氧浓度。
B.3.2最低检出浓度
本法最低检出浓度为0.005mg/m3。
B.3.3 仪器和设备
B.3.3.1 臭氧分析仪
仪器主要技术指标如下:
——测量范围:0 ~2.0mg/m3;
——响应时间(达到最大值90% ):<1min;
——线性误差:<±2% 满刻度;
——重现性:<±2% 满刻度;
——零点漂移:<±2% 满刻度(24h内);
——跨度漂移:<±2% 满刻度(24h内);
——噪音:<±1% 满刻度。
B.3.3.2 臭氧标准气体发生装置
臭氧浓度用紫外光度法标定,见 HJ 590。
B.3.4 试剂和材料
所需试剂和材料如下:
——活性炭:粒状;
——5A 分子筛:粒状;
——乙烯钢瓶气:纯度99.5% 以上。
B.3.5 采样
空气样品通过聚四氟乙烯导管,以仪器要求的流量抽入仪器。
B.3.6 分析步骤
按仪器说明书要求进行启动、调零和校准等操作,然后进行现场测定。
B.3.7 计算
B.3.7.1 读取臭氧浓度。
B.3.7.2 根据测定时的气温和大气压力,将浓度测量值换算成标准状态下的质量浓度。101.325kPa,273.15K(0℃)下,1×10-9(体积分数)=2.0μg/m3。
B.3.8 干扰
臭氧与乙烯气相发光反应,发射300nm~600nm 的连续光谱,峰值波长为435nm。由于此光谱范围与通常的光电倍增管的光谱特性相吻合,因此共存组分的干扰极少。
B.4 档案库房空气中颗粒物的检测——光散射法
B.4.1 原理
当光照射在空气中悬浮的颗粒物上时,产生散射光。在颗粒物性质一定的条件下,颗粒物的散射光强度与其浓度成正比。
B.4.2 仪器和设备
B.4.2.1 光散射式粉尘仪
光散射式粉尘仪主要技术指标如下:
——同时测量PM10和PM2.5;
——仪器应内设具有光学稳定性的自校装置,出厂前按JJG 846标定;
——仪器测量范围:0.001mg/m3~10mg/m3;
——检测灵敏度(相对校正粒子):1CPM=0.001mg/m3;
——测量精度:±10%(相对校正粒子);
——仪器测量的重现性误差:平均相对标准差±7%;
——与称重法比较,总不确定度应≤25%。
B.4.2.2 尘埃粒子计数器
尘埃粒子计数器是用于测量洁净环境中单位体积空气内尘埃粒子数和粒径分布的仪器。对于长期保存磁盘、磁带等磁性载体材料的档案库房可采用尘埃粒子计数器测定空气中的粒径大于0.5μm粒子和大于5μm粒子的数浓度。
尘埃粒子计数器主要技术指标如下:
——可多个粒径通道同时测量:如0.3μm、0.5μm、1μm、3μm、5μm、10μm等;
——仪器应内设具有光学稳定性的自校装置,出厂前按 GB/T 6167和JJF 1190标定和校准;
——测量范围:1级~100万级;
——重复性:相对标准偏差≤10% ;
——粒径准确度:相对误差≤10% ;
——自净时间:≤5min 。
B.4.3 测定步骤
按照仪器说明书完成仪器启动、调零和校正。
在使用前24h 给仪器安装电池或充电。 测量现场首先将过滤头安装在仪器进气口,再开启仪器,自动清洁光学舱。待读数为零后保持1min~3min,然后关闭仪器,取下过滤头。再次开启仪器,设定测量时间(5min),记录测量读数。
附 录 C
(规范性附录)
档案库房空气中内源性污染物的检测
C.1 档案库房空气中甲醛的检测———电化学传感器法
C.1.1 原理
由泵抽入的样气通过电化学传感器,受扩散和吸收控制的甲醛气体分子在适当的电极电压下发生氧化反应,产生的扩散电流与空气中甲醛的浓度成正比。
C.1.2 测定范围
本法可测浓度范围为0~10mg/m3。最低检测质量浓度为0.01mg/m3。
C.1.3 仪器和设备
C.1.3.1 电化学甲醛测定仪。主要技术指标如下:
——抽气泵:流量1L/min,校准后,抽气流量不得改变;
——量程:0~10mg/m3;
——重复性误差:≤±2.5% 满量程;
——零点漂移:≤±0.03mg/m3,连续8h;
——跨度漂移:≤±0.03mg/m3,连续8h;
——响应时间:95% ≤5min。
C.1.3.2 甲醛标准气配制装置。
C.1.4 试剂和材料
所需试剂和材料如下:
——高纯氮99.99% ;
——甲醛扩散管:2μg/min~50μg/min,总不确定度为5% ;
——活性炭过滤管。
C.1.5 测定步骤
C.1.5.1 测定仪充电:在使用前24h给仪器安上电池,充电。
C.1.5.2 零点校准:将活性炭过滤器安装在仪器进气口,开启抽气泵,稳定后通过零点调节器将指示值调至零。调零步骤重复两次。
C.1.5.3 跨度校准:将甲醛标准气体接至仪器进样口,通标准气体稳定后,通过跨度调节器将浓度指示值调至标准气体质量浓度值。跨度校准步骤重复两次。
C.1.5.4 样品测定:将仪器带到现场,可连续进行测定,直读甲醛浓度测定值。记录现场测定时气温和大气压力。
C.1.6 计算
C.1.6.1 如果仪器读数(c)是体积分数(10-6),换算成标准状态(273.15K,101.3kPa)的质量浓度c0(mg/m3),见式(C.1):
c0 =
…………………………(C.1 )
式中:
c0 ———换成标准状态的浓度,单位为毫克每立方米(mg/m3);
B ———标准状态下气体摩尔体积,在273.15K,101.3kPa时,B=22.4L/mol;
30.30 ———甲醛摩尔质量。
C.1.6.2 如果仪器浓度是质量浓度 可按式 C.2 换算成标准状态下浓度。
c0 = c×
×
= c×
×
…………………………(C.2)
式中:
c0 ——换算成标准状态的浓度,单位为毫克每立方米(mg/m3);
c ——仪器读数,单位为毫克每立方米(mg/m3);
T0——标准状态下的热力学温度,T0=273.15K;
T ——测定时现场热力学温度,单位为开尔文(K);
t ——现场气温值,单位为摄氏度(℃);
P0——标准状态下大气压力,P0=101.3kPa;
P ——测定时大气压力值,单位为千帕(kPa)。
C.1.7 方法特性
对所有配制的甲醛标准气重复6次以上,仪器测定的相对标准差小于5% ,分析仪测定值和标准值的相对误差小于2% 。
C.1.8 干扰及排除
H2S(0.05mg/m3)、SO2(0.75mg/m3)、乙醇(25mg/m3)、氨(1.0mg/m3)和甲醇(5.0mg/m3)对测量有干扰,分别相当于甲醛浓度0.13mg/m3、0.07mg/m3、0.04mg/m3、0.03mg/m3 和0.01mg/m3。乙醛、NO2、苯酚和丙酮对测定没有影响。
C.2 档案库房空气中乙酸的检测———离子色谱法
C.2.1原理
档案库房空气中的乙酸用硅胶管采集,用水解吸后,经离子交换色谱柱分离,并采用抑制电导检测器检测,根据保留时间确定乙酸根,外标法及峰面积定量。
C.2.2测定范围
测定范围:0.02μg/mL~10μg/mL。
采样空气10L,最低检测浓度为0.02mg/m3。
C.2.3 试剂和材料
C.2.3.1 乙酸根标准储备液:精确称取在硫酸干燥器中干燥的优级纯无水乙酸钠68.31mg,溶于超纯水中,在100mL容量瓶中定容,放入冰箱,4℃冷藏存放,此标准储备液 1.00mL相当于含500μgCH3COO-,可稳定3个月。所用试剂均为优级纯或分析纯。所用水为超纯水,电阻率≥18.2 MΩ/cm。
C.2.3.2 乙酸根标准工作液:精确量取乙酸根标准储备液20.00 mL,于500 mL 容量瓶中,用超纯水稀释至刻度,此标准工作液1.00mL 相当于含20μgCH3COO- 。此溶液应在临用时现配。
C.2.3.3 浓淋洗液配制:在洁净的干燥烧杯中称取2.0g质量分数为50% 的优级纯氢氧化钠溶液,用超纯水转移至1L淋洗罐中,并且继续加入超纯水至1L,所配制的氢氧化钠淋洗液浓度为25mmol/L。
C.2.3.4 稀淋洗液配制:用洁净的量筒量取200 mL已经配制好的25 mmol/L 氢氧化钠淋洗液,加超纯水稀释到1L,所配制氢氧化钠淋洗液浓度为5 mmol/L。如果离子色谱仪有二元泵或四元泵,可只配25mmol/L氢氧化钠溶液,另一路用超纯水代替。如果离子色谱仪有淋洗液发生装置,可通过面板设置所需的氢氧化钾(钠)淋洗液的浓度,无需配制淋洗液。
C.2.4 仪器和设备
所需仪器和设备如下:
——硅胶管:溶剂解吸型,内装300mg硅胶,前、后段各150mg;
——空气采样器:流量范围0~2L/min,流量稳定,使用前后,用皂膜流量计校准采样系统的流量,误差小于5%;
——具塞比色管:10mL;
——分析天平:感量0.1mg;
——水相针头式过滤器:0.22μm孔径;
——离子色谱仪:泵系统具有两个或两个以上的流路,或带有淋洗液流路切换的单泵,或带有淋洗液发生装置的单泵;抑制电导检测器;阴离子交换色谱柱,采用OH-体系的淋洗液。具有抑制电导检测器。
C.2.5采样和样品保存
采用硅胶管,以0.5L/min流量,采集待测库房10L的空气。采样前后采样硅胶管两端均密封。以防运输过程中吸收外界的乙酸。
C.2.6 色谱分析条件
色谱分析条件见表 C.1,其他能达到同等分离效果的色谱分析条件均可使用。分析时,应根据离子色谱仪的型号和性能,制定能分析乙酸的最佳测试条件。

C.2.7分析步骤
C.2.7.1 空白对照试验
将硅胶管带至现场,除不连接空气采样器采集空气外,其余操作同样品,作为样品的空白对照。
C.2.7.2 样品处理
将采过样的前、后段硅胶分别倒入两个具塞比色管中,加入10 mL解吸液(超纯水),密闭后振摇1min,在室温下解吸15min,经0.22μm水相针头式过滤器过滤,得到样品解吸液和空白对照解吸液。如样品解吸液中待测浓度超出测定范围,可稀释后测定,计算时乘以稀释倍数。
C.2.7.3 标准曲线的绘制
C.2.7.3.1 准确吸取0mL、0.5mL、1.0mL、2.0mL、5.0mL、10.0mL的乙酸根标准工作溶液,分别置于6个100mL的容量瓶,按表 C.2定容制备乙酸系列标准溶液。

C.2.7.3.2 参照表 C.1所列的色谱分析条件,将仪器调节至最佳状态,进样测定,重复三次。
C.2.7.3.3 以乙酸系列标准溶液的浓度(μg/mL)为横坐标,与其对应的峰面积均值为纵坐标,绘制标准曲线或计算回归方程。
C.2.7.4 样品测定
用测定标准溶液系列的操作条件测定样品解吸溶液和空白对照解吸溶液,由标准曲线或回归方程得到解吸溶液中乙酸的浓度(μg/mL)。
C.2.7.5 硅胶管解吸效率的测定和计算
C.2.7.5.1 硅胶管解吸效率的测定
每批硅胶管应测定乙酸解吸。取18支硅胶管,分为三组每组6支,分别加入20μg、40μg、80μg三个剂量的乙酸(加入的乙酸根标准工作液的量不应超过5mL)。密封硅胶管,放置过夜。按 C.2.7.2处理,得到三组解吸液,同时做空白试验,按 C.2.7.4测定所得三组解吸溶液的乙酸浓度和空白对照液乙酸浓度。
C.2.7.5.2 硅胶管解吸效率的计算
硅胶管乙酸的解吸效率D,以百分数(%)表示,按式(C.3)计算:
D =
× 100% …………………………(C.3 )
式中:
V ——解吸溶液的体积,单位为毫升(mL);
cb1 ——测得硅胶管解吸溶液中乙酸的浓度,单位为微克每毫升(μg/mL);
cb0 ——空白试验测得硅胶管解吸溶液中乙酸的浓度,单位为微克每毫升(μg/mL);
m0 ——加入到硅胶管中乙酸的质量,单位为微克(g);
三组硅胶管的测定结果的算术平均值作为乙酸的解吸效率,数值不得低于90%,个别浓度的解吸效率最低不得低于75% ,相对标准偏差不应低于7% 。
C.2.7.6 结果计算
空气中乙酸的浓度按式(C.4)计算:
c =
…………………………(C.4)
式中:
c ——空气中乙酸的浓度,单位为毫克每立方米(mg/m3);
c1, c2——测得硅胶管前、后段解吸溶液中的乙酸浓度,单位为微克每毫升(μg/mL);
ck0 ——测得空白对照解吸溶液中乙酸的浓度,单位为微克每毫升(μg/mL);
V ——解吸溶液的体积,单位为毫升(mL);
V0 ——标准采样体积,单位为立方米(m3);
D ——解吸效率。
C.2.8 方法特性
C.2.8.1 本方法的穿透容量为2.4mg,采样效率100%。
C.2.8.2 如先将硅胶管前段倒入比色管中解吸并测定,结果显示未超出本法的穿透容量时,后段可以不用解吸和测定;当测定结果超出本法的穿透容量时,再将硅胶管后段解吸并测定。
C.2.8.3 本方法重复性相对标准偏差1%~3%;再现性相对标准偏差3% ~5%。
C.2.9 干扰及排除
室内空气中的一氧化氮、二氧化氮、二氧化硫、硫化氢和氟化物对本法均无干扰。
C.3 档案库房空气中总挥发性有机化合物的检测———光离子化总量直接检测法
C.3.1原理
空气样品通过采样泵直接吸入后进入光离子化气体分析仪的离子化室,在真空紫外线(VUV)的轰击下,将TVOC电离成正负离子。测量离子电流的大小,就可确定TVOC的含量。
C.3.2 测定范围
以异丁烯为标准物质,检出限为10μg/m3,测定范围为10μg/m3~125mg/m3。
C.3.3 试剂和材料
所需试剂和材料如下:
——异丁烯标气,100×10-6(体积分数),8L 铝合金瓶,充气压力10 Mpa。异丁烯标准工作气体的制备,在20℃,一个大气压下,用气体质量流量计和控制器控制10 mL100×10-6(体积分数)的异丁烯标气,注入到装有1L高纯氮气的气袋中并混合均匀,制成异丁烯标准工作气体。该标准工作气体所含异丁烯的浓度为1×10-6(体积分数);
——椰子壳活性炭,20目~40目,用于净化零空气;
——高纯氮气,99.999%。
C.3.4仪器和设备
所需仪器和设备如下:
——光离子化气体分析仪;
——气袋:1L,聚四氟乙烯采样袋或铝-聚酯薄膜采样袋;
——气体质量流量计:经校正;
——注射器:1mL,经校正;
——转子流量计:0~1L/min,经校正;
——经校正的温湿度计;
——经校正的气压表。
C.3.5采样
将仪器带到现场,分析空气中的 TVOC。
C.3.6 分析步骤
现场条件要求及分析步骤如下:
——除特殊规定外,试验场所的环境温度:10 ℃~35 ℃;相对湿度:≤85% RH;大气压:86kPa~106kPa。
——采样泵的流速:流速应大于或等于400mL/min,用转子流量计在出气口监测流量。
——仪器的启动:按仪器操作说明书启动仪器进行检测。
——仪器的校正:用1×10-6(体积分数)异丁烯标准工作气体对仪器进行校正。重复3次,取其中两次数值接近者的平均值。
——样品的定量分析:在相同的分析条件下,对样品进行定量分析。仪器内置的吸气泵将样品从TVOC进样口吸入,由光离子化检测器直接进行检测。
C.3.7结果计算
标准状态下空气中 TVOC 质量浓度的计算见式(C.5):
CTVOC=
×
×
…………………………(C.5)
式中:
CTVOC——标准状态下空气中TVOC质量浓度,以异丁烯计,单位为毫克每立方米(mg/m3);
CPID ——现场光离子化分析仪读数浓度,以异丁烯计,1×10-6(体积分数);
t ——测量现场摄氏温度,单位为摄氏度(℃);
P ——测量现场大气压力,单位为千帕(kPa)。
C.3.8 方法特性
准确度取决于标准气体的不确定度(小于2%)和仪器的稳定性(小于1%)。
C.4 档案库房空气中菌落总数的检测方法
档案库房空气中的菌落总数包括细菌菌落总数和霉菌菌落总数。
C.4.1原理
采用撞击法检测档案库房空气中的菌落总数。即采用撞击式空气微生物采样器采样,通过抽气动力作用,使空气通过狭缝或小孔而产生高速气流,使悬浮在空气中的带菌粒子撞击到培养基平板上,经一定的温度和时间培养后,计算出每立方米空气中所含菌落数。
C.4.2 仪器和设备
所需仪器和设备如下:
——高压蒸汽灭菌器;
——干热灭菌器;
——恒温培养箱;
——冰箱;
——平皿(直径9cm);
——制备培养基用一般设备:量筒,三角烧瓶,pH计或精密pH试纸等;
——撞击式空气微生物采样器。
采样器的基本要求如下:
——对空气中微生物捕获率达95%;
——操作简单,携带方便,性能稳定,便于消毒。
C.4.3 培养基
C.4.3.1 营养琼脂培养基(细菌菌落总数用)
C.4.3.1.1 成分
蛋白胨 20g
牛肉浸膏 3g
氯化钠 5g
琼脂 15g~20g
蒸馏水 1000mL
C.4.3.1.2 制法
将上述各成分混合后加热溶解,校正pH至7.4,过滤分装,在121℃条件下经过20 min高压灭菌。在无菌操作条件下,倾注约15 mL 培养基于灭菌平皿内,制成营养琼脂平板。
C.4.3.2 马铃薯葡萄糖琼脂培养基(霉菌菌落总数用)
C.4.3.2.1 成分
马铃薯(去皮切块)300g
葡萄糖 20g
琼脂 20g
蒸馏水 1000mL
C.4.3.2.2 制法
将马铃薯去皮切块,加1000 mL蒸馏水,煮沸10min~20min,用纱布过滤,加入葡萄糖和琼脂,加热溶化,加蒸馏水补至1000 mL,分装,121℃,20min高压灭菌。在无菌操作条件下,倾注约15mL 培养基于灭菌平皿内,制成马铃薯葡萄糖琼脂平板。
C.4.4 操作步骤
C.4.4.1 选择有代表性的档案库房和位置设置采样点。将采样器消毒,按仪器使用说明进行采样。一般采样量为30L~150L,应根据所用仪器性能和室内微生物污染程度,酌情增加或减小空气采样量。
C.4.4.2 样品采完后,将带菌营养琼脂平板置于36℃±1℃恒温箱中培养48h,计数细菌菌落数,并根据采样器的流量和采样时间,换算成单位体积空气中的细菌菌落数,以cfu/m3 报告结果。
将带菌马铃薯葡萄糖琼脂培养基平板置于28℃±1℃恒温箱中培养3d~5d,计数每块平板上生长的霉菌菌落数,逐日观察并于第5天记录结果。若霉菌数量过多可于第3天计数结果,并记录培养时间,根据采样器的流量和采样时间,换算成单位体积空气中的霉菌菌落数,以cfu/m3报告结果。
C.4.5 结果计算
档案库房空气菌落数按式(C.6)进行计算。
档案库房空气菌落数(cfu/m3)=
……………………(C.6 )
式中:
N ——细菌或霉菌平皿菌落数;
Q ——采样流量,单位为升每分钟(L/min);
T ——采样时间,单位为分钟(min)。
C.5 档案库房空气中氡浓度的测定方法
C.5.1 原理
使用采样泵或自由扩散方法将待测空气中的氡抽入或扩散进入测量室,通过直接测量所收集氡产生的子体产物或经静电吸附浓集后的子体产物的α放射性,推算出待测空气中的氡浓度。
C.5.2 仪器和设备
测量室内空气中氡浓度的仪器设备有活性炭盒、径迹蚀刻探测器、半导体连续氡测量仪、双滤膜法测氡仪、闪烁瓶法测氡仪等。其中半导体连续氡测量仪可以在测量现场给出不同时间的氡浓度,也可以连续获得不间断的数据,计数效率比较高,且为便携式仪器,适合档案库房空气中氡的检测。
其主要性能指标要求如下:
——测量范围:10Bq/m3~105 Bq/m3;
——探测下限:<10Bq/m3;
——测量结果的不确定度:<25%(置信度95%);
——环境条件:温度0℃~40℃,相对湿度≤90%。
C.5.3 测量点位的选择
筛选测量应在氡浓度估计最高和最稳定的房间或区域内进行。点位的选择原则如下:
——测量应当在最靠近建筑底层的经常使用的档案库房内进行;
——测量应避开通风口以及门、窗等能引起空气流通的地方,还应避开阳光直晒和高潮湿地区;
——测量位置应距离门、窗1m 以上,距离墙面0.5m 以上;
——测量仪应放置在离地面至少0.5m,并不得高于1.5m,并且距离其他物体10cm 以上的位置。
C.5.4 封闭时间
通常关闭门窗超过12h。
C.5.5 测量步骤
C.5.5.1 筛选测量
第一步筛选测量,用以快速判定库房是否对其工作人员产生高辐照的潜在危险。第二步跟踪测量,用以估计工作人员的健康危险度以及对治理措施作出评价。筛选测量用以快速判定库房内是否含有高浓度氡气,以决定是否需要或采取哪类跟踪测量。筛选测量的采样时间见表C.3。

如果筛选测量结果在400Bq/m3以上,则应进行跟踪测量。按照筛选测量结果选择相应措施,见表C.4。

C.5.5.2 跟踪测量
跟踪测量的目的是要更准确地测量氡长期平均浓度,以便就其危害和需要采取的补救行动做出判定。跟踪测量应当在筛选测量相同的位置上进行。
跟踪测量应优先选用累积式测氡仪,例如,径迹蚀刻探测器和活性炭盒,以便于估计房间的年平均氡浓度。如果筛选测量结果在400Bq/m3 ~800Bq/m3之间,那么跟踪测量可以选择短期测量(1d~90d)或者长期测量(90d以上),这依据测量方法(仪器)而定。如果筛选测量结果大于800Bq/m3 或者要求快速知道结果,则建议进行短期跟踪测量,这有助于档案部门快速决定是否需要进行治理,并且避免由于长期测量的附加照射引起的健康危险的增加。跟踪测量周期见表C.5。

依据跟踪测量结果,出具监测报告,并采取相应的补救措施,见表C.6。

参 考 文 献
[1] HJ/T 167—2004 室内环境空气质量监测技术规范
[2] WW/T 0016—2008 馆藏文物保存环境质量检测技术规范